第 1 章 绪论
1.1 农业生物多样性的意义
农业生物多样性是一个广义的术语,它包括与粮食和农业有关的生物多样性的所有组成部分,以及构成农业生态系统的生物多样性的所有组成部分,在生态系统层面上动物、植物和微生物的遗传资源及物种资源的多样性和可变性是维持农业生态系统结构和过程的关键所在[1]。
农业生物多样性是遗传资源、环境和农民使用的管理制度和做法之间相互作用的结果[2]。这既是自然选择的结果,也是人类几千年来发明创造的结果。以下是生物多样性的作用。
(1)粮食和农业遗传资源:植物遗传资源,包括作物、野生植物、农场和牧场上人为种植的植物物种。动物遗传资源,包括驯养的动物、野生和养殖鱼类及其他水生生物,微生物和真菌遗传资源。
这些构成农业生产的主要单位:包括栽培和驯化物种的管理方式,野生植物和动物以及栽培和驯养的野生近亲物种。
(2)生物多样性是支持农业生态系统服务的基础组成部分:其中包括在不同尺度上各种各样的有机体,养分循环、病虫害调控、授粉、污染和沉积物调控、水文循环维持、侵蚀控制、气候调控和碳固存。
(3)非生物因素:例如对农业生物多样性有决定性影响的有当地气候因素和化学因素以及生态系统的物理结构和功能。
(4)社会经济和文化层面:农业生物多样性在很大程度上是由人类活动和管理做法形成和维持的,许多人依靠农业生物多样性维持可持续生计。这些方面包括关于农业生物多样性的传统和地方知识、文化因素和参与进程,以及与农业景观有关的旅游业。

..........................
1.2 蜘蛛在农业生态系统中的作用
蜘蛛几乎在所有的环境中都有发现,是一个巨大的多样性群体,大约有 44032种蜘蛛,它们作为其他无脊椎动物种群的调节因子,具有相关的生态功能[17]。作为节肢动物捕食者,它们是自然生态系统和农业生态系统的重要组成部分,在构建节肢动物群落和自然害虫控制方面发挥着重要作用[18]。所以蜘蛛除了在田间进行生物控制之外,还可以有效地作为指示生物进行生物监测[19]。
1.2.1 生物防治
蜘蛛是陆地生态系统中最丰富的捕食性天敌是农田、果园、草地、林地等人工及自然生态系统中的常见组分,更是人类可利用的天敌资源[20, 21]。蜘蛛捕食性生活,食性广,在农田主要捕食叶蝉、飞虱、蝗虫等成、若虫,也能捕食螟虫、棉铃虫、蚜虫等害虫的卵和低龄幼虫(若虫) [22-24] 国内对农田蜘蛛的研究在各种作物都有涉猎,其中研究最多的是稻田蜘蛛,稻田蜘蛛与主要目标害虫飞虱、叶蝉的空间分布及季节消长规律基本一致,稻田蜘蛛的生态位宽度也均大于主要目标害虫的生态位宽度[25]可以有效的控制害虫。根据捕食方式可将蜘蛛分为游猎型和结网型,不同种群蜘蛛有各自生活习性,其空间结构分布不同,其捕食范围不同,如稻田中游猎型蜘蛛拟水狼蛛,在稻丛间除捕食飞虱之外,还巡捕多种害虫,结网型锥腹肖蛸主要网捕善于飞行的叶蝉[25, 26]。
蜘蛛是陆地生态系统中最丰富的捕食性天敌是农田、果园、草地、林地等人工及自然生态系统中的常见组分,更是人类可利用的天敌资源[20, 21]。蜘蛛捕食性生活,食性广,在农田主要捕食叶蝉、飞虱、蝗虫等成、若虫,也能捕食螟虫、棉铃虫、蚜虫等害虫的卵和低龄幼虫(若虫) [22-24] 国内对农田蜘蛛的研究在各种作物都有涉猎,其中研究最多的是稻田蜘蛛,稻田蜘蛛与主要目标害虫飞虱、叶蝉的空间分布及季节消长规律基本一致,稻田蜘蛛的生态位宽度也均大于主要目标害虫的生态位宽度[25]可以有效的控制害虫。根据捕食方式可将蜘蛛分为游猎型和结网型,不同种群蜘蛛有各自生活习性,其空间结构分布不同,其捕食范围不同,如稻田中游猎型蜘蛛拟水狼蛛,在稻丛间除捕食飞虱之外,还巡捕多种害虫,结网型锥腹肖蛸主要网捕善于飞行的叶蝉[25, 26]。
有学者对几种蜘蛛的捕食能力也有报道:李竹新报道拟水狼蛛日捕食 8-9 只飞虱,拟环纹豹蛛日捕食 10-12 只飞虱,食虫沟瘤蛛日捕食 4-5 只飞虱,八斑鞘腹蛛日捕食 3-4 只飞虱,锥腹肖蛸日捕食 3-4 只飞虱[27]。三突花蜘、八斑园蜘和角园蜘喜食蚜虫,角园蜘日平均捕食量低的可达 11 头;拟环纹狼蜘、拟水狼蜘喜食叶蝉、飞虱;而黄褐新园蜘、草地小黑蛛、草地逍遥蛛则蚜虫、叶蝉和飞虱均可捕食。从捕食量来看,而高的可达 42 头(草地逍遥蛛);对叶蝉、飞虱的捕食量从 6 头至 21 头不等[28]星豹蛛对农田暴露性害虫控制效应明显[29]。由此可以看出蜘蛛控制农业害虫的能力是非常可观的。蜘蛛在春季通过溢出效应对从周边栖息地迁移到生产地中对害虫进行控制,也从生产地向栖息地迁移从而对栖息地害虫控制[30-32]。如靠近自然栖息地的葡萄园会提高蜘蛛的多样性,蜘蛛物种从自然栖息地迅速膨胀到葡萄园,会对害虫的抑制产生影响。增加食肉动物多样性会增加对食草动物的影响[33, 34]。赵紫华[32]刘文惠[35]胡文超[36]也证明苜蓿小麦邻作也有明显的溢出效应会对害虫有抑制作用。
................................
................................
第 2 章 研究方法
2.1 青崖寨自然概况
研究区位于河北省邯郸市武安市西部山区,紧靠青崖寨自然保护区,自然、半自然生境比例较大,景观背景良好。研究区内由于气温较低只能实行一年一熟,主要作物种植,玉米和谷子,周围山地是人工种植的板栗林和核桃林,还有大量的柿子树,还有不少农田改种芍药形成大片的芍药地。近些年由于旅游开发,为迎接邯郸市旅游发展大会,道路两侧进行景观提升美化,种植大片的绿海花廊。
地貌类型属于太行山南段低山丘陵亚区,经过多期、不同规模的复杂构造运动,形成了类型众多、风采各异的中低山地形和沟谷地貌。保护区内山峰林立,峡谷险曲,森林茂盛,有典型的嶂石岩地貌,区内地势西北高,东南低,相对高差为1300.0m 左右;其中青崖寨海拔 1898.7m,摩天岭海拔 1747.5m.
2.1 青崖寨自然概况
研究区位于河北省邯郸市武安市西部山区,紧靠青崖寨自然保护区,自然、半自然生境比例较大,景观背景良好。研究区内由于气温较低只能实行一年一熟,主要作物种植,玉米和谷子,周围山地是人工种植的板栗林和核桃林,还有大量的柿子树,还有不少农田改种芍药形成大片的芍药地。近些年由于旅游开发,为迎接邯郸市旅游发展大会,道路两侧进行景观提升美化,种植大片的绿海花廊。
地貌类型属于太行山南段低山丘陵亚区,经过多期、不同规模的复杂构造运动,形成了类型众多、风采各异的中低山地形和沟谷地貌。保护区内山峰林立,峡谷险曲,森林茂盛,有典型的嶂石岩地貌,区内地势西北高,东南低,相对高差为1300.0m 左右;其中青崖寨海拔 1898.7m,摩天岭海拔 1747.5m.
保护区境内气候类型属温带大陆性季风气候,其突出特点是:四季分明,寒暑悬殊,春季干燥多风,夏季炎热多雨,秋季天高气爽,冬季寒冷少雪、天气干燥。境内由于地形和植被各有差异,局部小气候差异明显。
保护区内年平均气温 11.1℃。一年中最冷月为一月份,平均气温在-2℃-4℃之间,极端最低气温在-20℃以下;一年中最热月为 7 月份,平均气温在 24℃-25℃之间,极端最高气温在 40℃以上,但气温随地势高度上升而减少,每升高 100m,气温则下降 0.6℃。
该区属于河北省的一个多雨地带,雨量相对较多,平均年降水量为 653.3mm,夏季常形成大量降雨,冬季最少,秋季略多于春季,一般夏季降水量占全年降水量的 66-70%。7、8 月份的暴雨量约占总量的 1/3-1/2。其他各月降水约占 17%-26%。降水量的年际变化幅度也很大。
..............................
2.2 研究区域选择
2.2.1 五种类型农业景观样地蜘蛛多样性对比实验
该实验在武安西部太行山区选择五种不同类型的农业景观样地(芍药地、绿海花廊景观带、自然林地、核桃林、玉米地),样方设置范围在大会庄、门王庄、前渠村三个行政村的范围内。
芍药地(113°53′8.91”E, 36°57′16.98”N;海拔高度 789m)位于大会庄村,芍药地之前一直大面积的梯田种植玉米,2019 年全部改种芍药作为油料作物,草本层盖度达到 60%,同时间作苹果,周边多为山坡,山坡上有种植板栗核桃。实验开始到结束共有 4 次管理。
保护区内年平均气温 11.1℃。一年中最冷月为一月份,平均气温在-2℃-4℃之间,极端最低气温在-20℃以下;一年中最热月为 7 月份,平均气温在 24℃-25℃之间,极端最高气温在 40℃以上,但气温随地势高度上升而减少,每升高 100m,气温则下降 0.6℃。
该区属于河北省的一个多雨地带,雨量相对较多,平均年降水量为 653.3mm,夏季常形成大量降雨,冬季最少,秋季略多于春季,一般夏季降水量占全年降水量的 66-70%。7、8 月份的暴雨量约占总量的 1/3-1/2。其他各月降水约占 17%-26%。降水量的年际变化幅度也很大。
..............................
2.2 研究区域选择
2.2.1 五种类型农业景观样地蜘蛛多样性对比实验
该实验在武安西部太行山区选择五种不同类型的农业景观样地(芍药地、绿海花廊景观带、自然林地、核桃林、玉米地),样方设置范围在大会庄、门王庄、前渠村三个行政村的范围内。
芍药地(113°53′8.91”E, 36°57′16.98”N;海拔高度 789m)位于大会庄村,芍药地之前一直大面积的梯田种植玉米,2019 年全部改种芍药作为油料作物,草本层盖度达到 60%,同时间作苹果,周边多为山坡,山坡上有种植板栗核桃。实验开始到结束共有 4 次管理。
绿海花廊景观带(113°57′09.56”E, 36°53′06.92”N;海拔高度 723m)位于大会庄村西,西侧靠近 202 省道,省道向西是青崖寨自然保护区缓冲区骆驼峰野花带到骆驼峰的距离是 150m。之前一直种植玉米,2018 年由于旅游开发,开始改种观赏野花带,本实验所选地段种植的地被菊,草本层盖度达到 80%。实验开始到结束共有 4 次管理。

................................

................................
第 3 章 不同类型农业景观样地蜘蛛群落组成分析 ........................................ 21
3.1 农田景观蜘蛛群落组成 ..................................... 21
3.1.1 个体数及类群的组成 ...................................... 21
3.1.2 蜘蛛物种组成 .................................. 22
第 4 章 不同类型景观地表蜘蛛多样性分析 ............................... 35
4.1 农业景观地表蜘蛛多样性分析 ....................................... 35
4.1.1 武安西部太行山区农田景观地表蜘蛛总体多样性分析 ........... 35
4.1.2 五种不同样地中蜘蛛群落组成结构的差异性及相似性系数 ... 38
第 5 章 绿海花廊蜘蛛群落的空间动态分析 .................................... 46
5.1 绿海花廊蜘蛛的时间动态分析 .................................... 46
5.2 绿海花廊不同空间蜘蛛多样性分析 ................................. 47
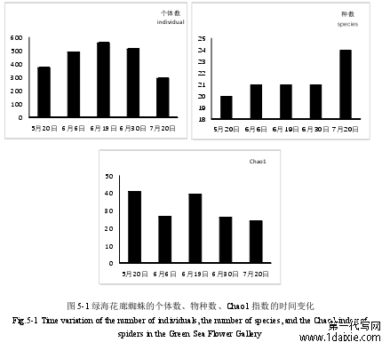
第 5 章 绿海花廊蜘蛛群落的空间动态分析
5.1 绿海花廊蜘蛛的时间动态分析
2019 年本试验共采集蜘蛛 2230 头,39 种,15 科。优势种两种分别是星豹蛛和鞍形花蟹蛛,各占蜘蛛总个体数的,53.27%和 24.26%,常见种 14 种,本实验分析以物种个数和 Chao1 指数为总多度和物种丰富度进行分析。
5 月 20 日到 6 月 19 日取样个数随时间推移在增加,6 月 19 日达到顶峰,6 月 30 日之后个体数开始下滑,蜘蛛数量开始减少。从物种数来看前几次取样基本差不多,7 月 20 日物种数高于及其他几次。再看 Chao1 指数,5 月 20 日取样最高,6 月 19 日次之,最后一次 7 月 20 日最少,如图 5-1 所示。
绿海花廊的蜘蛛活动高峰期是 6 月中旬左右,蜘蛛物种数出现高峰期在 7 月20 日。
2019 年本试验共采集蜘蛛 2230 头,39 种,15 科。优势种两种分别是星豹蛛和鞍形花蟹蛛,各占蜘蛛总个体数的,53.27%和 24.26%,常见种 14 种,本实验分析以物种个数和 Chao1 指数为总多度和物种丰富度进行分析。
5 月 20 日到 6 月 19 日取样个数随时间推移在增加,6 月 19 日达到顶峰,6 月 30 日之后个体数开始下滑,蜘蛛数量开始减少。从物种数来看前几次取样基本差不多,7 月 20 日物种数高于及其他几次。再看 Chao1 指数,5 月 20 日取样最高,6 月 19 日次之,最后一次 7 月 20 日最少,如图 5-1 所示。
绿海花廊的蜘蛛活动高峰期是 6 月中旬左右,蜘蛛物种数出现高峰期在 7 月20 日。

............................
总结
本研究对武安西部太行山区农业景观中的蜘蛛群落组成、多样性、时间动态、空间格局等方面作了比较详细的研究,揭示了环境因素对蜘蛛群落的影响,并模拟了边缘效应蜘蛛空间动态分布,得到以下结果。
(1)武安市西部太行山区农业景观中蜘蛛的组成和时间空间动态。 群落组成,本研究通过陷阱法对不同农业景观样地中的蜘蛛进行了系统的调查,采集到蜘蛛标本 5856 号,隶属于 20 科,63 种。五种类型农业景观样地对比实验采集到标本 3626 号,隶属 19 科,59 种。其中优势种两种,星豹蛛 1942 头和鞍形花蟹蛛 416 头,常见种 14 种,稀有种 43 种。
时间动态分析,蜘蛛的个体数和物种数随时间变化的趋势是一致的,武安市西部太行山区蜘蛛群落活动的高峰期在五月中下旬。三种优势科中,狼蛛科和平腹蛛科随时间变化的趋势和武安市西部太行山区总的蜘蛛群落随时间变化趋势是一致的,而蟹蛛科的变化趋势与其他两科不同,蟹蛛科的活动高峰期在六月中旬到六月底。主要蜘蛛种群与时间的对应分析可知各种蜘蛛出现的高峰期,与空间的对应分析可知各种蜘蛛更倾向于哪种类型的生境,如星豹蛛的高峰期是 6 月中下旬,更倾向于芍药地和绿海花廊这种地面裸漏枯落物少,人为干扰较大的生境类型。基于蜘蛛的种群对五类样地进行聚类分析,样地被分为三类,第一类,人为干扰较大的芍药地、玉米地、牡丹地;第二类人为干扰较小的核桃林;第三类无人干扰、植物结构复杂、植物物种丰富的自然林地。
(2)武安市西部太行山区不同农业景观中蜘蛛的多样性对比及分析。
从不同类型生境的蜘蛛生物多样性对比来看,自然林地和核桃林地的生物多样性 Chao1 指数最高,玉米地最低地。主要是因为核桃地自然林地人为干扰小,基本无人干扰,且生境结构复杂,植物空间和物种丰富,有丰富的物种多样性为蜘蛛提供丰富的食源和栖息地,核桃林的 Chao1 指数的方差分析高于自然林是因为核桃林处于两个生态系统的过渡带,发生了信息和物质能量的交互所产生的边缘效应所致。而玉米地则相反,生境结构单一人为破坏严重,食源单一,且无适合的栖息地,结合与芍药地和绿海花廊的方差分析可知间作套种,增加植物空间结构可以增加农田蜘蛛多样性有利于农田害虫防治。不同类型样地的蜘蛛群落结构的NMDS 排序可以看出,核桃林和自然林的蜘蛛群落异质性比较大,说明生境异质性较大,生境结构比较复杂增加了蜘蛛群落的多样性。玉米地、绿海花廊,和芍药地的群落异质性较小,绿海花廊和芍药地出现重叠,这两类型样地蜘蛛的群落结构相似性较高达到 0.421 共有种 16 种。
参考文献(略)